75450 BUKIT BERUANG, MELAKA. TEL/FAX:06-2324512
Pages
Home
MOTO DAN SLOGAN
UPSR
GB, PIBG, LPS
PHOTOS
ALUMNI
SEJARAH
Grab this Widget
通告/PENGUMUMAN/ANNOUNCEMENT: 17-18.12.16 "" HARI JUALAN BUKU TAHUN 1 HINGGA TAHUN 6 2017....... 27.12.16 "" MESYUARAT GURU....... 28.12.16 "" ORIENTASI MURID TAHUN 1....... 03.01.17 "" SESI PERSEKOLAHAN 2017 BERMULA.......
Wednesday, January 4, 2017
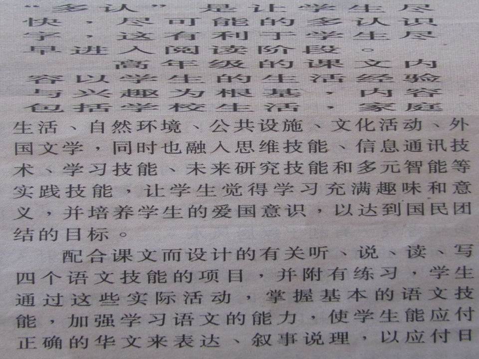
剪报: 小学教育-KSSR
***
小学教育
***
SOURCE:
NANYANG SIANG PAU
DATED 02.01.17
*~~~~~~~~~~~~~~~~~~~~~~~~~~~~~~~~~~~~~~~~~*
Related Posts:
http://sjkcbb.blogspot.my/2016/09/blog-post_80.html
http://sjkcbb.blogspot.my/2016/09/blog-post_73.html
http://sjkcbb.blogspot.my/2016/09/blog-post_67.html
http://sjkcbb.blogspot.my/2016/09/blog-post.html
http://sjkcbb.blogspot.my/2016/08/blog-post_8.html
*~~~~~~~~~~~~~~~~~~~~~~~~~~~~~~~~~~~~~~~~~*
No comments:
Post a Comment
Newer Post
Older Post
Home
Subscribe to:
Post Comments (Atom)
No comments:
Post a Comment